Support Board
Date/Time: Wed, 05 Nov 2025 09:13:59 +0000
Post From: Errors in trade log time entries
| [2022-11-21 23:35:34] |
| aroymukherjee - Posts: 23 |
|
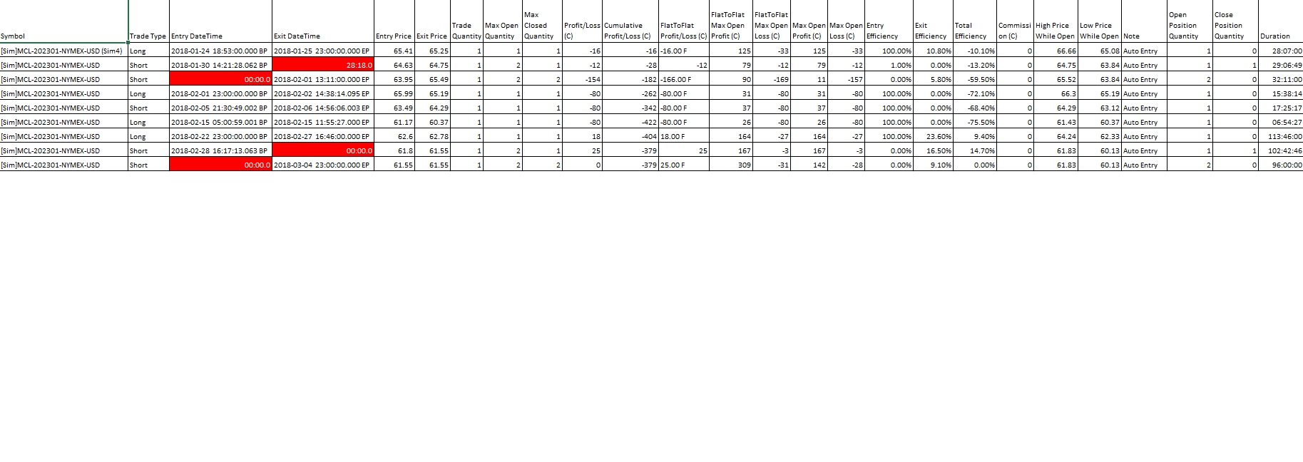
When doing backtests the trade log sometimes does not print the actual time of entry or exit although does show a duration for the trade. The attached file shows a couple of these highlighted from my backtest trade log. What is the cause for this error and how can I fix it to be able to view the correct times?
|
| |
