Support Board
Date/Time: Thu, 18 Dec 2025 14:05:03 +0000
Post From: study settings write bar and study data to file
| [2017-10-20 21:11:33] |
| User807026 - Posts: 86 |
|
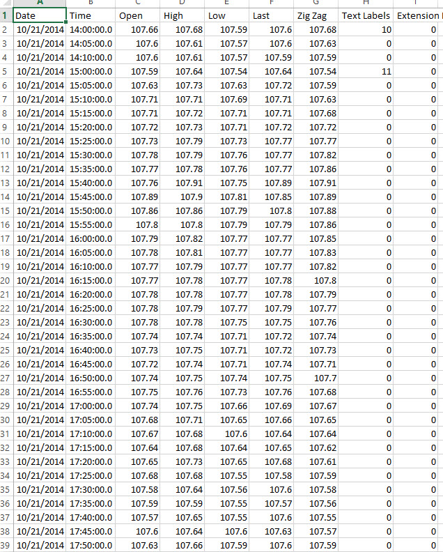
I am trying to get a specific data set from this study and I can't seem to make it work. I have placed a zig-zag study on a 5 minute CL chart with only the tick line length and the tick line showing. I have placed the Study Setting: Write Bar and Study Data to File study on it and downloaded the information. When I load the data in excel it only show the first 2 tick line length numbers on it and then all zeros from the first two on. I can't figure out what I am doing wrong. I have read your instruction several times and I don't see why it won't work. I have attached screen shots of the chart the inputs on the studies and a the excel print out. http://www.sierrachart.com/image.php?Image=150853361646.png |
| Attachment Deleted. |
